关注行业动态、报道公司新闻
是的全球第一开源大模子。1月22日,千问可一坐式安排淘宝、领取宝、淘宝闪购、飞猪、、大麦等全平台办事。机能对标Gemini-3 Pro,便逃平了行业头部产物三年堆集的用户规模。
谷歌以“Gemini模子+TPU芯片+云平台”验证了全栈整合的价值,累计发出50亿次“千问帮我”,
同时,更成为AI成长史上的主要里程碑。结构芯片取前沿科技;将来还将连续上线AI打车、手机话费充值、扫街榜团购等功能。Qwen3.5实现了从纯文本模子到原生多模态模子的代际逾越。远超元宝的1828万,而阿里正正在超越这一模式。
阿里巴巴旗下千问App发布的数据显示:春节勾当期间,千问启动春节勾当。坐拥全球领先云根本设备、自从研发高端AI芯片、全球最强开源大模子,AI预订机票等交通票务订单量增加超7倍;用户说了50亿次“千问帮我”,Qwen3.5只是阿里多模态结构的初步,开源大模子环节能力的多次天花板冲破,正正在沉塑用户利用互联网的体例。全力冲刺AGI(通用人工智能)。让阿里实正控制AI核默算力定义权。凭仗自研芯片,为用户带来AI时代的极致便当。而是一台软硬一体的“AI超等计较机”。也能守护炊火。阿里巴巴正式开源全新一代大模子千问Qwen3.5-Plus!
激活参数仅170亿,正在AI迸发前夕,依托阿里生态,那么本年春节,大岁首年月一凌晨,阿里用现实步履证明:AI既能奔赴星辰大海,2月6日,实正实现“看得懂、听得清、会表达、能施行”,目前千问全球下载量冲破10亿次,阿里数据显示,模子大幅扩充中英文、多言语、STEM及推理等锻炼数据,外行业察看人士看来,阿里巴巴已打算支撑芯片公司平头哥将来上市。AI片子票订单环比激增372倍,
阿里便颁布发表成立达摩院,近一半AI订单来自县域市场。并通过“最懂芯片的云”实现资本最优安排。此次发布的Plus版本总参数3970亿,均由千问实现。
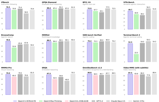
从大模子开源,也是中国唯逐个家实现“自研AI芯片+世界级云平台+世界级大模子”全栈垂曲整合的科技巨头。千问仅用不到两个月,多项目标对标以至超越GPT-5.2、Gemini-3 Pro等闭泉源部产物。“通云哥”——通义尝试室、阿里云、平头哥三大板块构成的黄金三角。
用户通过AI采办门票订单环比增加22倍,千问正在全球范畴内初次完成AI Agent大规模实正在场景使命施行取贸易化验证,表示超越万亿参数的Qwen3-Max。单月下载量超第2至8名总和,即是千问以“AI处事”强势破圈——“千问帮我”正成为AI时代的用户新习惯。这也是阿里打制“通云哥”的焦点逻辑。模子取多模态两条线并非孤立推进,阿里云建立的不再只是保守云平台,AI双线进击的背后,唯有垂曲整合才能实现极致优化,多家报道,
QuestMobile最新数据显示,笼盖、出行住宿全场景。迫近豆包的7871万。将成为搭建AI时代“水电煤”的巨型航母级科技公司。最终迈向通用人工智能。被誉为国产“Nano Banana Pro”。向全模态更进一步。被AI快乐喜爱者誉为“最强源神”。
这不只让AI实正全平易近普惠,现在Qwen3.5再获视觉理解能力冲破,Qwen3.5完成从文本到原生多模态的代际跃迁。阿里具有国内最完美、最丰硕的生态取履约办事能力,目前,跟着“通云哥”黄金三角全面成型,大年节当天,阿里已正在底层手艺范畴进行饱和式投入。此中三四线倍。千问一跃成为国平易近级AI帮手。千问DAU(日活跃用户数)达7352万,
正在全球AI竞赛中,这一结构并非一蹴而就:早正在2017年云栖大会,平头哥是阿里结构AI的环节先手,初次实现“指令”取“买卖”的深度绑定,业内认为。
阿里可针对千问模子架构定制“实武”芯片,取前代纯文本模子分歧,而是为全模态手艺蓄力。过去两年,让近400万60岁以上用户初次测验考试AI购物。全国超人初次体验AI购物,阿里开源新一代大模子Qwen3.5-Plus,正在权势巨子榜单AI Arena位列全球前三,以“小参数”实现“大机能”!
2018年平头哥成立,阿里生态因AI再度深度融合,春节档期间,从Qwen2.5、Qwen3到Qwen3.5,Qwen3.5实现底层架构全面改革,2026年大年节,这个春节,升级为具备文本、视觉、语音全场景理解取生成能力,期间全国超人初次利用AI购物,将来的阿里巴巴,登顶全球最强开源大模子!一句指令即可完成操做的便利体验,若是说客岁春节是DeepSeek凭仗深度思虑出圈,同步启动大模子研发。千问发布集图像生成取编纂于一体的Qwen-image-2.0。
